使用 FEA 对线性电磁致动器进行分析

摘要

本文分析了用于真空断路器的电磁致动器的动态特性。同时分析了磁、电气和机械现象,以了解致动器的动态行为。通过使用有限元分析 (FEA) 计算磁参数,然后将其导入动态分析软件,计算电气和机械方程。得到了分析结果和一些实验数据。该技术可用于非常精确地分析传感器、继电器、开关和其他致动器系统的动态电磁行为。

电磁致动器广泛应用于断路器中。其作用是以一定的速度和精确的轨迹实现真空瓶可移动触点的运动。

本文提出并分析了一种新型线性致动器模型,该模型将用于新一代 TE 轨道车辆车顶系统。磁阻力是严重影响致动器操作的一个因素。这种阻力的来源可能是:

 

  • 静态磁场:当电枢移动时,它会承受磁拉力(与磁体的相对运动所致,取决于磁体的位置)。
  •  剩余线圈电流:当保持电压与线圈断开时,线圈电流衰减为零需要花费一定时间。当线圈电流存在时,它产生朝向关闭位置的磁拉力。可通过以下方式实现快速电流衰减:

             o 增加 TVS(瞬变电压抑制器)电压

             o 减小线圈电感

  •  产生的涡电流 [1]
  • 运动产生涡电流:这种效应造成了大部分能量损失(如果电枢和磁体之间存在相对运动),可以通过移动电枢中的磁体(和/或使用磁场强度更低的磁体)来有效地减少甚至消除这种效应)[1]。
  • 反 EMF(电动势)电流:移动电枢会导致反 EMF 电压,进而导致反 EMF 电流,从而阻碍运动。

以前的调查研究没有考虑到涡电流在致动器电枢运动中的影响,但由于它对致动器的性能至关重要,因此模型中将所有上述影响纳入考量,对其进行计算,并含入模型。因此,我们的模型在原型设计之前高精度地预测致动器的真实行为,并可用于灵敏度分析,减少设计时间和成本,提供最佳的技术和经济的解决方案。下面的章节详尽介绍了这些方法和结果。

静态分析

图 1 显示了建议的电磁致动器结构:

图 1 分析中的致动器结构

与典型的致动器(通常由开口和闭合线圈组成)相比,这种类型的致动器包括外壳(或框架)、钢销、线圈组件(线圈和线轴)、电枢(柱塞)、轴、聚氨酯垫圈和永久 SmCo(钐钴)磁体 (PM)。

端子通电时,线圈绕组会产生电磁场。线圈的目的是将电枢传动到关闭位置,并帮助将其固定在那里。致动器应失效 - 在线圈断电的情况下安全(处于开路状态)。 当线圈中的电流被切断时,开始进入开路状态,并且仅通过

机械手段(弹簧等)实现。因此,在优先考虑安全性的情况下,这种类型的致动器中的功率损耗(对现代列车至关重要)明显低于典型致动器中的损耗。

定子会将磁场集中。它环绕线圈外部,由低碳钢 AISI(美国钢铁协会)1018 制成。低碳钢用于大多数电磁致动器。它具有高磁导率且成本相对较低 [12]。

磁体会产生吸持力,这取决于电枢相对于外壳的位置(低和高磁阻)。 

本分析应用了磁场物理学。为了定义碳钢的非线性磁性能和磁体的剩余磁通密度,已在相关领域应用了安培定律。分析引入了非线性磁特性,用于解释磁饱和(当材料的磁化

达到因所应用的外部磁场 H 增加而无法进一步增加的临界点时的状态)[2] [3]。

为了计算电枢中的电磁力,采用了麦克斯韦应力张量法。此张量在数学上是沿闭合路径 (2D) 或围绕所分析的定义域的闭合表面区域“A”(3D) 的积分。这种方法的局限性之一是,当存在磁性材料到磁性材料的接口(用作磁极)时,它们之间必须保持非常小的气隙 (< 0.1mm),否则会计算出很低的力值,不符合其实际值 [12] [5]。

动态分析

为了研究致动器的动态行为,已模拟了两个模型,以说明其打开和闭合的性能 [4] [7] [8]。用于驱动致动器的电路如下所示(图 2):

图 2 控制电路

在打开过程中,线圈中的电流被切断,TVS 被用来抑制感生电压(从而抑制感生电流)。在关闭过程中,使用来自 APS(致动器电源)的脉冲序列来驱动致动器。
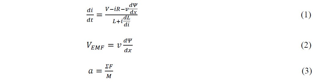
求解的方程 ((1) – (3)) 如下:

方程

V:电压 (V),i:电流 (A),R:电阻 (Ω),L:电感 (H),VEMF:反 EMF 电压 (V),v:速度 (m/s),α:加速度 (m/s2),t:时间 (s) ΣF:总力 (N),M:质量 (kg),Ψ:磁链 (Wb-T)。磁链有两个要素,一个取决于 PM (BPM) 产生的磁场,另一个元件取决于线圈 (Bc) 产生的磁场。

 

涡电流是使用以下公式 [1] 计算的:

方程

其中 K1 是几何因子,l 是柱塞的长度,ρ 是材料电阻系数 [1]。假设柱塞为圆柱体,则方程 4 为:

Eq

使用方程 6 和 7 计算涡电流 (Be) 和相应力 (Fe) 产生的磁场。

Eq

其中 lm 是磁路,r 是柱塞的半径,μ 是材料介电常数。

模拟结果

图 3 显示了不同位置的磁场分布。

在关闭位置(图 3a)中,电枢与钢壳一起形成低磁阻路线,而顶部的大间隙表示高磁阻路线。因此,磁场线路几乎只会经过与外壳接触的电枢终端。磁体在该位置产生了

很高的吸持力。为了实现故障安全操作,线圈还被用来产生更高的吸持力,将电枢固定在闭合位置。

为打开线圈,流经线圈的电流被切断,电枢开始移动。当电枢从关闭位置移动到打开位置时,磁场线被推向之前较低的路线(图 3b),因为现在打开位置的空气间隙越来越小(磁阻越来越小)。因此,底部的吸持力下降,而顶部的吸持力增加。

图 3 磁场分布:a) 关闭位置的柱塞,b) 中间位置的柱塞,c) 打开位置的柱塞

当电枢到达打开位置时(图 3c), 磁阻路线与前面提到的相反,因此磁场线大多集中在顶部。如图所示,当电枢分别处于关闭和打开位置时,磁场集中的现象并不相似。因此,打开位置的吸持力比关闭位置的吸持力低。动态分析的结果如图 4 和图 5 所示:

图 4 致动器(打开)的动态特性
图 5 致动器(关闭)的动态特性

通过一些略有不同的致动器模型(最终调整之前的设计)所获得的一些初步实验结果(图 6 和 7)为所提出的设计和控制电路的概念提供了证明。

测试结果

在测试过程中观察到的动态特性的结果曲线图与模拟结果一致。在测试和模拟中,关闭和打开操作的速度和持续时间值相似(误差小于 10%)。

本分析提出了致动器的优化模型,以最大限度地减少甚至消除由感应引起的电磁制动的影响。在打开过程中,采用了一种新的控制电路来抑制这种影响,而在闭合过程中,引入了一个脉冲序列来控制致动器的性能。

创新的致动器设计和控制电路提高了系统的效率和性能(低功率损耗), 为新一代 TE 列车车顶系统的持续发展做出了重要贡献。致动器旨在实现可靠的操作,符合市场对体积小和重量轻的

需求(提高空气动力学性能)和最低功耗要求。

基于测试结果与模拟结果的比较,可以得出结论,所提出的计算方法可以准确地分析电磁致动器的瞬变特性,值得注意的是,本报告考虑了涡电流贡献,由于其复杂的形式,大多数现有论文都

未将其纳入考虑。因此,该方法的重要性在于它可以在原型设计之前用于显著减少设计和制造过程中的时间、成本和资源。

致谢

我们感谢 Graham Mcdonald、Robert Phillpotts 和 Thomas Moore 在整个项目过程中提供的所有支持和专业建议。他们根据分析结果和机械力数据提供了机械模型和电子配置。

参考

[1] Mandache, L.; D. Topan; K. Al Haddad.“Modeling of Non-Linear Ferromagnetic Cores”.Revue Roumaine de Sciences Techniques.Serie Electrotechnique et Energetique.Vol. 53, Issue 4. 2008.

[2] K. Srairi and M. Feliachi, “Numerical Coupling Moldels for Analyzing Dynamic Behaviors of Electromagnretic actuators,” IEEE Transactions on Magnetics, vol. 34, no. 5, pp. 3608-3611, 1998.

[3] I. Yatchev, V. Gueorgiev, K. Hinov, R. Ivanov and D. Dimitrov, “Dynamic characteristics of a permanent magnet electromagnetic valve actuator,” in 12th International Conference on Optimization of Electrical and Electronic Equipment, 2010.

[4] I. Yatchev, V. Gueorgiev, R. Ivanov and K. Hinov, “Simulation of the Dynamic Behaviour of a Permanent Magnet Linear Actuator,” Elec.Energ., vol. 23, no. 1, pp. 37-43, 2010.

[5] I. Yatchev and E. Ritchie, “Simulation of Dynamics of a Permanent Manget Linear Actuator,” Internation Journal of Mathematical, Computational, Physical, Electrical and Computer Engineering, vol. 4, no. 6, pp. 726-730, 2010.

[6] S.-M.Wang, T. Miyano and M. Hubbard, “Electromagnetic Field Analysis and Dynamic Simulation of a Two-Valve Actuator” IEEE Transactions on Magnetics, vol. 29, no. 2, pp. 1741-1746, 1993.

[7] A. Radulian and N. Mocioi, “Numerical Modelling of an Electromagnetic Actuator for Vacuum Contactors”.International Conference and Exposition on Electrical and Power Engineering, Iasi, Romania, 2014.

[8] N. Paudel, “Part 1: How to Model a Linear Electromagnetic Plunger,” 7th June 2016. [Online].获取资料:https://www.comsol.co.in/blogs/part-1-how-to-model-a-linear-electromagnetic-plunger/。

[9] N. Paudel, “Part 2: Model a Linear Electromagnetic Plunger with a Blocker,” 14th June 2016. [Online].获取资料:https://www.comsol.co.in/blogs/part-2-model-a-linear-electromagnetic-plunger-with-a-blocker/。

[10] D. Mayer and B. Ulrych, “Electromechanical Actuators Dynamics” J. of Electrical Engineering, vol. 60, no. 5, pp. 255, 2009.

[11] H. Musaab, “Using Look-up Tables to Model an Electromagnetic Suspansion System,” American Journal of Applied Sciences , vol. 9, no. 8, pp. 1199-1202, 2012.

[12] O. Vogel and J. Ulm, “Theory of Proportional Solenoids and Magnetic Force Calculation using Comsol Multiphysics,” in Comsol Conference, Stuttgart, 2011.

使用 FEA 对线性电磁致动器进行分析

摘要

本文分析了用于真空断路器的电磁致动器的动态特性。同时分析了磁、电气和机械现象,以了解致动器的动态行为。通过使用有限元分析 (FEA) 计算磁参数,然后将其导入动态分析软件,计算电气和机械方程。得到了分析结果和一些实验数据。该技术可用于非常精确地分析传感器、继电器、开关和其他致动器系统的动态电磁行为。

电磁致动器广泛应用于断路器中。其作用是以一定的速度和精确的轨迹实现真空瓶可移动触点的运动。

本文提出并分析了一种新型线性致动器模型,该模型将用于新一代 TE 轨道车辆车顶系统。磁阻力是严重影响致动器操作的一个因素。这种阻力的来源可能是:

 

  • 静态磁场:当电枢移动时,它会承受磁拉力(与磁体的相对运动所致,取决于磁体的位置)。
  •  剩余线圈电流:当保持电压与线圈断开时,线圈电流衰减为零需要花费一定时间。当线圈电流存在时,它产生朝向关闭位置的磁拉力。可通过以下方式实现快速电流衰减:

             o 增加 TVS(瞬变电压抑制器)电压

             o 减小线圈电感

  •  产生的涡电流 [1]
  • 运动产生涡电流:这种效应造成了大部分能量损失(如果电枢和磁体之间存在相对运动),可以通过移动电枢中的磁体(和/或使用磁场强度更低的磁体)来有效地减少甚至消除这种效应)[1]。
  • 反 EMF(电动势)电流:移动电枢会导致反 EMF 电压,进而导致反 EMF 电流,从而阻碍运动。

以前的调查研究没有考虑到涡电流在致动器电枢运动中的影响,但由于它对致动器的性能至关重要,因此模型中将所有上述影响纳入考量,对其进行计算,并含入模型。因此,我们的模型在原型设计之前高精度地预测致动器的真实行为,并可用于灵敏度分析,减少设计时间和成本,提供最佳的技术和经济的解决方案。下面的章节详尽介绍了这些方法和结果。

静态分析

图 1 显示了建议的电磁致动器结构:

图 1 分析中的致动器结构

与典型的致动器(通常由开口和闭合线圈组成)相比,这种类型的致动器包括外壳(或框架)、钢销、线圈组件(线圈和线轴)、电枢(柱塞)、轴、聚氨酯垫圈和永久 SmCo(钐钴)磁体 (PM)。

端子通电时,线圈绕组会产生电磁场。线圈的目的是将电枢传动到关闭位置,并帮助将其固定在那里。致动器应失效 - 在线圈断电的情况下安全(处于开路状态)。 当线圈中的电流被切断时,开始进入开路状态,并且仅通过

机械手段(弹簧等)实现。因此,在优先考虑安全性的情况下,这种类型的致动器中的功率损耗(对现代列车至关重要)明显低于典型致动器中的损耗。

定子会将磁场集中。它环绕线圈外部,由低碳钢 AISI(美国钢铁协会)1018 制成。低碳钢用于大多数电磁致动器。它具有高磁导率且成本相对较低 [12]。

磁体会产生吸持力,这取决于电枢相对于外壳的位置(低和高磁阻)。 

本分析应用了磁场物理学。为了定义碳钢的非线性磁性能和磁体的剩余磁通密度,已在相关领域应用了安培定律。分析引入了非线性磁特性,用于解释磁饱和(当材料的磁化

达到因所应用的外部磁场 H 增加而无法进一步增加的临界点时的状态)[2] [3]。

为了计算电枢中的电磁力,采用了麦克斯韦应力张量法。此张量在数学上是沿闭合路径 (2D) 或围绕所分析的定义域的闭合表面区域“A”(3D) 的积分。这种方法的局限性之一是,当存在磁性材料到磁性材料的接口(用作磁极)时,它们之间必须保持非常小的气隙 (< 0.1mm),否则会计算出很低的力值,不符合其实际值 [12] [5]。

动态分析

为了研究致动器的动态行为,已模拟了两个模型,以说明其打开和闭合的性能 [4] [7] [8]。用于驱动致动器的电路如下所示(图 2):

图 2 控制电路

在打开过程中,线圈中的电流被切断,TVS 被用来抑制感生电压(从而抑制感生电流)。在关闭过程中,使用来自 APS(致动器电源)的脉冲序列来驱动致动器。
求解的方程 ((1) – (3)) 如下:

方程

V:电压 (V),i:电流 (A),R:电阻 (Ω),L:电感 (H),VEMF:反 EMF 电压 (V),v:速度 (m/s),α:加速度 (m/s2),t:时间 (s) ΣF:总力 (N),M:质量 (kg),Ψ:磁链 (Wb-T)。磁链有两个要素,一个取决于 PM (BPM) 产生的磁场,另一个元件取决于线圈 (Bc) 产生的磁场。

 

涡电流是使用以下公式 [1] 计算的:

方程

其中 K1 是几何因子,l 是柱塞的长度,ρ 是材料电阻系数 [1]。假设柱塞为圆柱体,则方程 4 为:

Eq

使用方程 6 和 7 计算涡电流 (Be) 和相应力 (Fe) 产生的磁场。

Eq

其中 lm 是磁路,r 是柱塞的半径,μ 是材料介电常数。

模拟结果

图 3 显示了不同位置的磁场分布。

在关闭位置(图 3a)中,电枢与钢壳一起形成低磁阻路线,而顶部的大间隙表示高磁阻路线。因此,磁场线路几乎只会经过与外壳接触的电枢终端。磁体在该位置产生了

很高的吸持力。为了实现故障安全操作,线圈还被用来产生更高的吸持力,将电枢固定在闭合位置。

为打开线圈,流经线圈的电流被切断,电枢开始移动。当电枢从关闭位置移动到打开位置时,磁场线被推向之前较低的路线(图 3b),因为现在打开位置的空气间隙越来越小(磁阻越来越小)。因此,底部的吸持力下降,而顶部的吸持力增加。

图 3 磁场分布:a) 关闭位置的柱塞,b) 中间位置的柱塞,c) 打开位置的柱塞

当电枢到达打开位置时(图 3c), 磁阻路线与前面提到的相反,因此磁场线大多集中在顶部。如图所示,当电枢分别处于关闭和打开位置时,磁场集中的现象并不相似。因此,打开位置的吸持力比关闭位置的吸持力低。动态分析的结果如图 4 和图 5 所示:

图 4 致动器(打开)的动态特性
图 5 致动器(关闭)的动态特性

通过一些略有不同的致动器模型(最终调整之前的设计)所获得的一些初步实验结果(图 6 和 7)为所提出的设计和控制电路的概念提供了证明。

测试结果

在测试过程中观察到的动态特性的结果曲线图与模拟结果一致。在测试和模拟中,关闭和打开操作的速度和持续时间值相似(误差小于 10%)。

本分析提出了致动器的优化模型,以最大限度地减少甚至消除由感应引起的电磁制动的影响。在打开过程中,采用了一种新的控制电路来抑制这种影响,而在闭合过程中,引入了一个脉冲序列来控制致动器的性能。

创新的致动器设计和控制电路提高了系统的效率和性能(低功率损耗), 为新一代 TE 列车车顶系统的持续发展做出了重要贡献。致动器旨在实现可靠的操作,符合市场对体积小和重量轻的

需求(提高空气动力学性能)和最低功耗要求。

基于测试结果与模拟结果的比较,可以得出结论,所提出的计算方法可以准确地分析电磁致动器的瞬变特性,值得注意的是,本报告考虑了涡电流贡献,由于其复杂的形式,大多数现有论文都

未将其纳入考虑。因此,该方法的重要性在于它可以在原型设计之前用于显著减少设计和制造过程中的时间、成本和资源。

致谢

我们感谢 Graham Mcdonald、Robert Phillpotts 和 Thomas Moore 在整个项目过程中提供的所有支持和专业建议。他们根据分析结果和机械力数据提供了机械模型和电子配置。

参考

[1] Mandache, L.; D. Topan; K. Al Haddad.“Modeling of Non-Linear Ferromagnetic Cores”.Revue Roumaine de Sciences Techniques.Serie Electrotechnique et Energetique.Vol. 53, Issue 4. 2008.

[2] K. Srairi and M. Feliachi, “Numerical Coupling Moldels for Analyzing Dynamic Behaviors of Electromagnretic actuators,” IEEE Transactions on Magnetics, vol. 34, no. 5, pp. 3608-3611, 1998.

[3] I. Yatchev, V. Gueorgiev, K. Hinov, R. Ivanov and D. Dimitrov, “Dynamic characteristics of a permanent magnet electromagnetic valve actuator,” in 12th International Conference on Optimization of Electrical and Electronic Equipment, 2010.

[4] I. Yatchev, V. Gueorgiev, R. Ivanov and K. Hinov, “Simulation of the Dynamic Behaviour of a Permanent Magnet Linear Actuator,” Elec.Energ., vol. 23, no. 1, pp. 37-43, 2010.

[5] I. Yatchev and E. Ritchie, “Simulation of Dynamics of a Permanent Manget Linear Actuator,” Internation Journal of Mathematical, Computational, Physical, Electrical and Computer Engineering, vol. 4, no. 6, pp. 726-730, 2010.

[6] S.-M.Wang, T. Miyano and M. Hubbard, “Electromagnetic Field Analysis and Dynamic Simulation of a Two-Valve Actuator” IEEE Transactions on Magnetics, vol. 29, no. 2, pp. 1741-1746, 1993.

[7] A. Radulian and N. Mocioi, “Numerical Modelling of an Electromagnetic Actuator for Vacuum Contactors”.International Conference and Exposition on Electrical and Power Engineering, Iasi, Romania, 2014.

[8] N. Paudel, “Part 1: How to Model a Linear Electromagnetic Plunger,” 7th June 2016. [Online].获取资料:https://www.comsol.co.in/blogs/part-1-how-to-model-a-linear-electromagnetic-plunger/。

[9] N. Paudel, “Part 2: Model a Linear Electromagnetic Plunger with a Blocker,” 14th June 2016. [Online].获取资料:https://www.comsol.co.in/blogs/part-2-model-a-linear-electromagnetic-plunger-with-a-blocker/。

[10] D. Mayer and B. Ulrych, “Electromechanical Actuators Dynamics” J. of Electrical Engineering, vol. 60, no. 5, pp. 255, 2009.

[11] H. Musaab, “Using Look-up Tables to Model an Electromagnetic Suspansion System,” American Journal of Applied Sciences , vol. 9, no. 8, pp. 1199-1202, 2012.

[12] O. Vogel and J. Ulm, “Theory of Proportional Solenoids and Magnetic Force Calculation using Comsol Multiphysics,” in Comsol Conference, Stuttgart, 2011.